Your browser does not support JavaScript!
Youtube
Linkedin
Twitter
info@pomac.ch
ACCUEIL
FORMATION
INSTALLATION/DEPANNAGE
AIDE A L'ACHAT
CREATION SITE WEB
ASTUCES
CONTACT
TUTORIELS PDF
Sur cette page, vous trouverez des tutoriels au format PDF pour vous guider dans l’utilisation de vos appareils et de vos applications.
La base du Mac
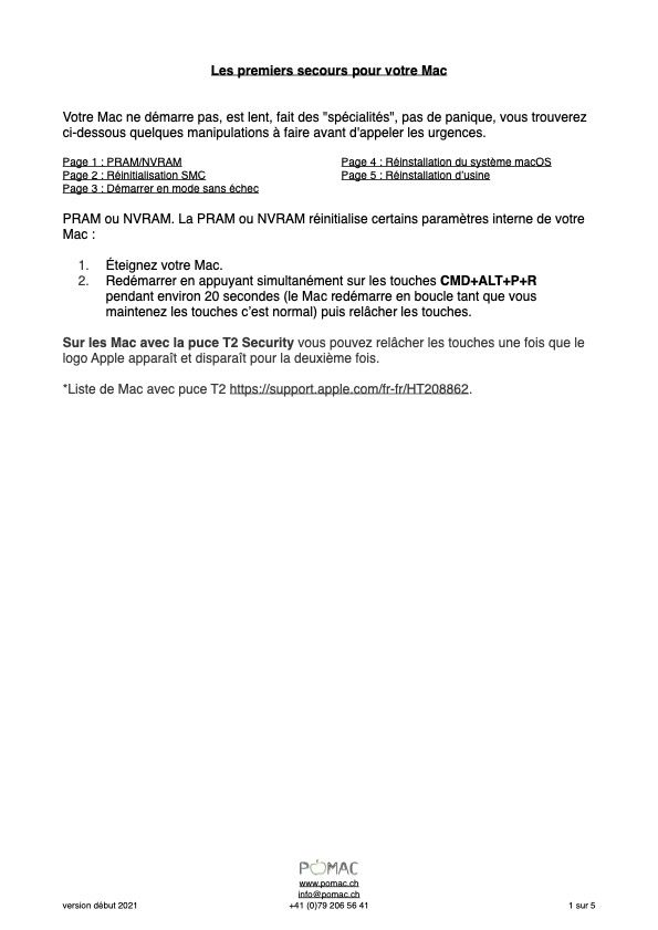
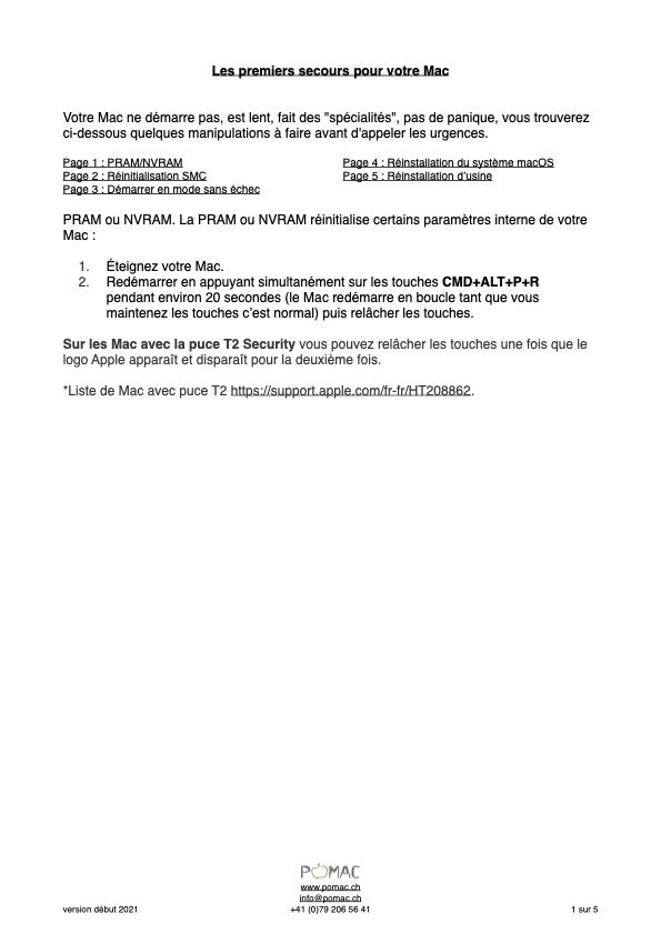
Premiers secours Mac
Sauvegarde Time Machine
Partage d'écran Mac
Récupération fichiers/dossiers sur Time Machine
Gestes Trackpad
Gestes Magic Mouse
Capture d'écran Mac
Exporter mots de passe Safari
Impression avec Photos Mac
079 206 56 41
info@pomac.ch
Politique de confidentialité
© POMAC 2017-2025